首页最新资讯

全部 新闻动态 技术文章 常见问题 技术问答

    • Scala子类继承父类的方法【黑马程序员】

      Scala和Java类似,只允许继承一个父类。不同的是,Java只能继承父类中非私有的属性和方法。而Scala可以继承父类中的所有属性和方法,子类拥有父类的所有特征。但是Scala在子类继承父类的时候,有以下几点需要注意:查看全文>>

      技术文章2020-12-30 |黑马程序员 |scala子类继承父类,scala继承
    • HDFS存储架构【大数据技术文章】

      HDFS采用主从架构(Master/Slave架构)。HDFS集群分别是由一个NameNode和多个的 DataNode组成。其中,NameNode是HDFS集群的主节点,负责管理文件系统的命名空间以及客户端对文件的访问;DataNode是集群的从节点,负责管理它所在节点上的数据存储。HDFS分布式文件系统中的NameNode和DataNode两种角色各司其职,共同协调完成分布式的文件存储服务。查看全文>>

      技术文章2020-12-30 |黑马程序员 |HDFS节点,NameNode分布式文件系统,储存架构
    • Hadoop安装步骤讲解,安装目录的内容和作用是什么?

      Hadoop是Apache基金会面向全球开源的产品之一,任何用户都可以从Apache Hadoop 官网:https://archive.apache.org/dist/hadoop/common下载使用。本书将以编写时较为稳定的Hadoop2.7.4版本为例,详细讲解Hadoop的安装。查看全文>>

      技术文章2020-12-29 |黑马程序员 |Hadoop安装步骤,Hadoop安装目录的作用是什么
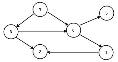
    • 什么是DAG?有向无环图的几种连贯关系讲解

      DAG(Directed Acyclic Graph)叫做有向无环图,DAG是一种非常重要的图论数据结构。如果一个有向图无法从任意顶点出发经过若干条边回到该点,则这个图就是有向无环图,接下来通过几个例子,我们来详细了解下DAG有无环向图。查看全文>>

      技术文章2020-12-29 |黑马程序员 |DAG,有无环向图,什么是DAG
    • 实时计算Spark Streaming工作原理是什么?

      Spark Streaming支持从多种数据源获取数据,包括Kafka、Flume、Twitter、ZeroMQ、Kinesis 以及TCP Sockets数据源。当Spark Streaming从数据源获取数据之后,则可以使用诸如map、reduce、join和window等高级函数进行复杂的计算处理,最后将处理的结果存储到分布式文件系统、数据库中为了可以深入的理解Spark Streaming,接下来,我们对对Spark Streaming的内部工作原理进行详细讲解。查看全文>>

      技术文章2020-12-28 |黑马程序员 |Spark,Spark Streaming,Spark Streaming工作原理
    • 黑马程序员大数据基础视频教程

      从0开始学习大数据课程,想了解linux、kettle、BI、mysql、从基础到实践,通过知识点 + 案例教学法帮助你想你想迅速掌握大数据。提取码:ir0t查看全文>>

      技术文章2020-12-23 |黑马程序员 |大数据基础视频教程
和我们在线交谈!